在面试之前多看看有关公司的面试资料,对之后的面试会很有帮助。今天就给大家分享15道虾皮服务端的面试真题(附答案解析),快来看看自己的水平到底如何吧,希望能帮助到大家!
1. 排序链表
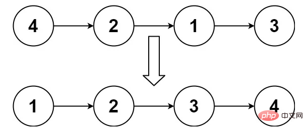
给你链表的头结点head ,请将其按升序排列并返回排序后的链表 。

实例1:
输入:head = [4,2,1,3] 输出:[1,2,3,4]

实例2:
输入:head = [-1,5,3,4,0] 输出:[-1,0,3,4,5]
这道题可以用双指针+归并排序算法解决,主要以下四个步骤
1. 快慢指针法,遍历链表找到中间节点
2. 中间节点切断链表
3. 分别用归并排序排左右子链表
4. 合并子链表
完整代码如下:
class Solution { public ListNode sortList(ListNode head) { //如果链表为空,或者只有一个节点,直接返回即可,不用排序 if (head == null || head.next == null) return head; //快慢指针移动,以寻找到中间节点 ListNode slow = head; ListNode fast = head; while(fast.next!=null && fast.next.next !=null){ fast = fast.next.next; slow = slow.next; } //找到中间节点,slow节点的next指针,指向mid ListNode mid = slow.next; //切断链表 slow.next = null; //排序左子链表 ListNode left = sortList(head); //排序左子链表 ListNode right = sortList(mid); //合并链表 return merge(left,right); } public ListNode merge(ListNode left, ListNode right) { ListNode head = new ListNode(0); ListNode temp = head; while (left != null && right != null) { if (left.val <= right.val) { temp.next = left; left = left.next; } else { temp.next = right; right = right.next; } temp = temp.next; } if (left != null) { temp.next = left; } else if (right != null) { temp.next = right; } return head.next; } }
2.对称与非对称加密算法的区别
先复习一下相关概念:
-
明文:指没有经过加密的信息/数据。
-
密文:明文被加密算法加密之后,会变成密文,以确保数据安全。
-
密钥:是一种参数,它是在明文转换为密文或将密文转换为明文的算法中输入的参数。密钥分为对称密钥与非对称密钥。
-
加密:将明文变成密文的过程。
-
解密:将密文还原为明文的过程。
对称加密算法:加密和解密使用相同密钥的加密算法。常见的对称加密算法有AES、3DES、DES、RC5、RC6等。

非对称加密算法:非对称加密算法需要两个密钥(公开密钥和私有密钥)。公钥与私钥是成对存在的,如果用公钥对数据进行加密,只有对应的私钥才能解密。主要的非对称加密算法有:RSA、Elgamal、DSA、D-H、ECC。

3. TCP如何保证可靠性
-
首先,TCP的连接是基于三次握手,而断开则是四次挥手。确保连接和断开的可靠性。
-
其次,TCP的可靠性,还体现在有状态;TCP会记录哪些数据发送了,哪些数据被接受了,哪些没有被接受,并且保证数据包按序到达,保证数据传输不出差错。
-
再次,TCP的可靠性,还体现在可控制。它有报文校验、ACK应答、超时重传(发送方)、失序数据重传(接收方)、丢弃重复数据、流量控制(滑动窗口)和拥塞控制等机制。
4. 聊聊五种IO模型
4.1 阻塞IO 模型
假设应用程序的进程发起IO调用,但是如果内核的数据还没准备好的话,那应用程序进程就一直在阻塞等待,一直等到内核数据准备好了,从内核拷贝到用户空间,才返回成功提示,此次IO操作,称之为阻塞IO。

4.2 非阻塞IO模型
如果内核数据还没准备好,可以先返回错误信息给用户进程,让它不需要等待,而是通过轮询的方式再来请求。这就是非阻塞IO,流程图如下:

4.3 IO多路复用模型
IO多路复用之select
应用进程通过调用select函数,可以同时监控多个fd,在select函数监控的fd中,只要有任何一个数据状态准备就绪了,select函数就会返回可读状态,这时应用进程再发起recvfrom请求去读取数据。

select有几个缺点:
-
最大连接数有限,在Linux系统上一般为1024。
-
select函数返回后,是通过遍历fdset,找到就绪的描述符fd。
IO多路复用之epoll
为了解决select存在的问题,多路复用模型epoll诞生,它采用事件驱动来实现,流程图如下:

epoll先通过epoll_ctl()来注册一个fd(文件描述符),一旦基于某个fd就绪时,内核会采用回调机制,迅速激活这个fd,当进程调用epoll_wait()时便得到通知。这里去掉了遍历文件描述符的坑爹操作,而是采用监听事件回调的机制。这就是epoll的亮点。
4.4 IO模型之信号驱动模型
信号驱动IO不再用主动询问的方式去确认数据是否就绪,而是向内核发送一个信号(调用sigaction的时候建立一个SIGIO的信号),然后应用用户进程可以去做别的事,不用阻塞。当内核数据准备好后,再通过SIGIO信号通知应用进程,数据准备好后的可读状态。应用用户进程收到信号之后,立即调用recvfrom,去读取数据。

4.5 IO 模型之异步IO(AIO)
AIO实现了IO全流程的非阻塞,就是应用进程发出系统调用后,是立即返回的,但是立即返回的不是处理结果,而是表示提交成功类似的意思。等内核数据准备好,将数据拷贝到用户进程缓冲区,发送信号通知用户进程IO操作执行完毕。
流程如下:

5. hystrix 工作原理
Hystrix 工作流程图如下:

1、构建命令
Hystrix 提供了两个命令对象:HystrixCommand和HystrixObservableCommand,它将代表你的一个依赖请求任务,向构造函数中传入请求依赖所需要的参数。
2、执行命令
有四种方式执行Hystrix命令。分别是:
-
R execute():同步阻塞执行的,从依赖请求中接收到单个响应。
-
Future queue():异步执行,返回一个包含单个响应的Future对象。
-
Observable observe():创建Observable后会订阅Observable,从依赖请求中返回代表响应的Observable对象
-
Observable toObservable():cold observable,返回一个Observable,只有订阅时才会执行Hystrix命令,可以返回多个结果
3、检查响应是否被缓存
如果启用了 Hystrix缓存,任务执行前将先判断是否有相同命令执行的缓存。如果有则直接返回包含缓存响应的Observable;如果没有缓存的结果,但启动了缓存,将缓存本次执行结果以供后续使用。
4、检查回路器是否打开 回路器(circuit-breaker)和保险丝类似,保险丝在发生危险时将会烧断以保护电路,而回路器可以在达到我们设定的阀值时触发短路(比如请求失败率达到50%),拒绝执行任何请求。
如果回路器被打开,Hystrix将不会执行命令,直接进入Fallback处理逻辑。
5、检查线程池/信号量/队列情况 Hystrix 隔离方式有线程池隔离和信号量隔离。当使用Hystrix线程池时,Hystrix 默认为每个依赖服务分配10个线程,当10个线程都繁忙时,将拒绝执行命令,,而是立即跳到执行fallback逻辑。
6、执行具体的任务 通过HystrixObservableCommand.construct() 或者 HystrixCommand.run() 来运行用户真正的任务。
7、计算回路健康情况 每次开始执行command、结束执行command以及发生异常等情况时,都会记录执行情况,例如:成功、失败、拒绝和超时等指标情况,会定期处理这些数据,再根据设定的条件来判断是否开启回路器。
8、命令失败时执行Fallback逻辑 在命令失败时执行用户指定的 Fallback 逻辑。上图中的断路、线程池拒绝、信号量拒绝、执行执行、执行超时都会进入Fallback处理。
9、返回执行结果 原始对象结果将以Observable形式返回,在返回给用户之前,会根据调用方式的不同做一些处理。
6. 延时场景处理
日常开发中,我们经常遇到这种业务场景,如:外卖订单超30分钟未支付,则自动取消订单;用户注册成功15分钟后,发短信消息通知用户等等。这就是延时任务处理场景。针对此类场景我们主要有以下几种处理方案:
-
JDK的DelayQueue延迟队列
-
时间轮算法
-
数据库定时任务(如Quartz)
-
Redis ZSet 实现
-
MQ 延时队列实现
7.https请求过程
-
HTTPS = HTTP + SSL/TLS,即用SSL/TLS对数据进行加密和解密,Http进行传输。
-
SSL,即Secure Sockets Layer(安全套接层协议),是网络通信提供安全及数据完整性的一种安全协议。
-
TLS,即Transport Layer Security(安全传输层协议),它是SSL 3.0的后续版本。

http请求流程
1、用户在浏览器里输入一个https网址,然后连接到server的443端口。
2、服务器必须要有一套数字证书,可以自己制作,也可以向组织申请,区别就是自己颁发的证书需要客户端验证通过。这套证书其实就是一对公钥和私钥。
3、服务器将自己的数字证书(含有公钥)发送给客户端。
4、客户端收到服务器端的数字证书之后,会对其进行检查,如果不通过,则弹出警告框。如果证书没问题,则生成一个密钥(对称加密),用证书的公钥对它加密。
5、客户端会发起HTTPS中的第二个HTTP请求,将加密之后的客户端密钥发送给服务器。
6、服务器接收到客户端发来的密文之后,会用自己的私钥对其进行非对称解密,解密之后得到客户端密钥,然后用客户端密钥对返回数据进行对称加密,这样数据就变成了密文。
7、服务器将加密后的密文返回给客户端。
8、客户端收到服务器发返回的密文,用自己的密钥(客户端密钥)对其进行对称解密,得到服务器返回的数据。
8. 聊聊事务隔离级别,以及可重复读实现原理
8.1 数据库四大隔离级别
为了解决并发事务存在的脏读、不可重复读、幻读等问题,数据库大叔设计了四种隔离级别。分别是读未提交,读已提交,可重复读,串行化(Serializable)。
-
读未提交隔离级别:只限制了两个数据不能同时修改,但是修改数据的时候,即使事务未提交,都是可以被别的事务读取到的,这级别的事务隔离有脏读、重复读、幻读的问题;
-
读已提交隔离级别:当前事务只能读取到其他事务提交的数据,所以这种事务的隔离级别解决了脏读问题,但还是会存在重复读、幻读问题;
-
可重复读:限制了读取数据的时候,不可以进行修改,所以解决了重复读的问题,但是读取范围数据的时候,是可以插入数据,所以还会存在幻读问题;
-
串行化:事务最高的隔离级别,在该级别下,所有事务都是进行串行化顺序执行的。可以避免脏读、不可重复读与幻读所有并发问题。但是这种事务隔离级别下,事务执行很耗性能。
四大隔离级别,都会存在哪些并发问题呢
| 隔离级别 | 脏读 | 不可重复读 | 幻读 |
|---|---|---|---|
| 读未提交 | √ | √ | √ |
| 读已提交 | × | √ | √ |
| 可重复读 | × | × | √ |
| 串行化 | × | × | × |
8.2 Read View可见性规则
| 变量 | 描述 |
|---|---|
| m_ids | 当前系统中那些活跃(未提交)的读写事务ID, 它数据结构为一个List。 |
| max_limit_id | 表示生成Read View时,系统中应该分配给下一个事务的id值。 |
| min_limit_id | 表示在生成Read View时,当前系统中活跃的读写事务中最小的事务id,即m_ids中的最小值。 |
| creator_trx_id | 创建当前Read View的事务ID |
Read View的可见性规则如下:
-
如果数据事务ID
trx_id < min_limit_id,表明生成该版本的事务在生成Read View前,已经提交(因为事务ID是递增的),所以该版本可以被当前事务访问。 -
如果
trx_id>= max_limit_id,表明生成该版本的事务在生成Read View后才生成,所以该版本不可以被当前事务访问。 -
如果
min_limit_id =<trx_id< max_limit_id,需要分3种情况讨论
1)如果
m_ids包含trx_id,则代表Read View生成时刻,这个事务还未提交,但是如果数据的trx_id等于creator_trx_id的话,表明数据是自己生成的,因此是可见的。2)如果
m_ids包含trx_id,并且trx_id不等于creator_trx_id,则Read View生成时,事务未提交,并且不是自己生产的,所以当前事务也是看不见的;3)如果
m_ids不包含trx_id,则说明你这个事务在Read View生成之前就已经提交了,修改的结果,当前事务是能看见的。
8.3 可重复读实现原理
数据库是通过加锁实现隔离级别的,比如,你想一个人静静,不被别人打扰,你可以把自己关在房子,并在房门上加上一把锁!串行化隔离级别就是加锁实现的。但是如果频繁加锁,性能会下降。因此设计数据库的大叔想到了MVCC。
可重复读的实现原理就是MVCC多版本并发控制。在一个事务范围内,两个相同的查询,读取同一条记录,却返回了不同的数据,这就是不可重复读。可重复读隔离级别,就是为了解决不可重复读问题。
查询一条记录,基于MVCC,是怎样的流程呢?
-
获取事务自己的版本号,即事务ID
-
获取Read View
-
查询得到的数据,然后Read View中的事务版本号进行比较。
-
如果不符合Read View的可见性规则, 即就需要Undo log中历史快照;
-
最后返回符合规则的数据
InnoDB 实现MVCC,是通过Read View+ Undo Log实现的,Undo Log保存了历史快照,Read View可见性规则帮助判断当前版本的数据是否可见。
可重复读(RR)隔离级别,是如何解决不可重复读问题的?
假设存在事务A和B,SQL执行流程如下

在可重复读(RR)隔离级别下,一个事务里只会获取一次read view,都是副本共用的,从而保证每次查询的数据都是一样的。
假设当前有一张core_user表,插入一条初始化数据,如下:

基于MVCC,我们来看看执行流程
1、A开启事务,首先得到一个事务ID为100
2、B开启事务,得到事务ID为101
3、事务A生成一个Read View,read view对应的值如下
| 变量 | 值 |
|---|---|
| m_ids | 100,101 |
| max_limit_id | 102 |
| min_limit_id | 100 |
| creator_trx_id | 100 |
然后回到版本链:开始从版本链中挑选可见的记录:

由图可以看出,最新版本的列name的内容是孙权,该版本的trx_id值为100。开始执行read view可见性规则校验:
min_limit_id(100)=<trx_id(100)<102; creator_trx_id = trx_id =100;
由此可得,trx_id=100的这个记录,当前事务是可见的。所以查到是name为孙权的记录。
4、事务B进行修改操作,把名字改为曹操。把原数据拷贝到undo log,然后对数据进行修改,标记事务ID和上一个数据版本在undo log的地址。

5、事务B提交事务
6、事务A再次执行查询操作,因为是RR(可重复读)隔离级别,因此会复用老的Read View副本,Read View对应的值如下
| 变量 | 值 |
|---|---|
| m_ids | 100,101 |
| max_limit_id | 102 |
| min_limit_id | 100 |
| creator_trx_id | 100 |
然后再次回到版本链:从版本链中挑选可见的记录:

从图可得,最新版本的列name的内容是曹操,该版本的trx_id值为101。开始执行read view可见性规则校验:
min_limit_id(100)=<trx_id(101)<max_limit_id(102); 因为m_ids{100,101}包含trx_id(101), 并且creator_trx_id (100) 不等于trx_id(101)
所以,trx_id=101这个记录,对于当前事务是不可见的。这时候呢,版本链roll_pointer跳到下一个版本,trx_id=100这个记录,再次校验是否可见:
min_limit_id(100)=<trx_id(100)< max_limit_id(102); 因为m_ids{100,101}包含trx_id(100), 并且creator_trx_id (100) 等于trx_id(100)
所以,trx_id=100这个记录,对于当前事务是可见的,所以两次查询结果,都是name=孙权的那个记录。即在可重复读(RR)隔离级别下,复用老的Read View副本,解决了不可重复读的问题。
9. 聊聊索引在哪些场景下会失效?
1. 查询条件包含or,可能导致索引失效
2. 如何字段类型是字符串,where时一定用引号括起来,否则索引失效
3. like通配符可能导致索引失效。
4. 联合索引,查询时的条件列不是联合索引中的第一个列,索引失效。
5. 在索引列上使用mysql的内置函数,索引失效。
6. 对索引列运算(如,+、-、*、/),索引失效。
7. 索引字段上使用(!= 或者 < >,not in)时,可能会导致索引失效。
8. 索引字段上使用is null, is not null,可能导致索引失效。
9. 左连接查询或者右连接查询查询关联的字段编码格式不一样,可能导致索引失效。
10. mysql估计使用全表扫描要比使用索引快,则不使用索引。
10. 什么是虚拟内存
虚拟内存,是虚拟出来的内存,它的核心思想就是确保每个程序拥有自己的地址空间,地址空间被分成多个块,每一块都有连续的地址空间。同时物理空间也分成多个块,块大小和虚拟地址空间的块大小一致,操作系统会自动将虚拟地址空间映射到物理地址空间,程序只需关注虚拟内存,请求的也是虚拟内存,真正使用却是物理内存。
现代操作系统使用虚拟内存,即虚拟地址取代物理地址,使用虚拟内存可以有2个好处:
-
虚拟内存空间可以远远大于物理内存空间
-
多个虚拟内存可以指向同一个物理地址
零拷贝实现思想,就利用了虚拟内存这个点:多个虚拟内存可以指向同一个物理地址,可以把内核空间和用户空间的虚拟地址映射到同一个物理地址,这样的话,就可以减少IO的数据拷贝次数啦,示意图如下:

11. 排行榜的实现,比如高考成绩排序
排行版的实现,一般使用redis的zset数据类型。
使用格式如下:
zadd key score member [score member ...],zrank key member
-
层内部编码:ziplist(压缩列表)、skiplist(跳跃表)
-
使用场景如排行榜,社交需求(如用户点赞)
实现demo如下:

12.分布式锁实现
分布式锁,是控制分布式系统不同进程共同访问共享资源的一种锁的实现。秒杀下单、抢红包等等业务场景,都需要用到分布式锁,我们项目中经常使用Redis作为分布式锁。
选了Redis分布式锁的几种实现方法,大家来讨论下,看有没有啥问题哈。
-
命令setnx + expire分开写
-
setnx + value值是过期时间
-
set的扩展命令(set ex px nx)
-
set ex px nx + 校验唯一随机值,再删除
-
Redisson
12.1 命令setnx + expire分开写
if(jedis.setnx(key,lock_value) == 1){ //加锁 expire(key,100); //设置过期时间 try { do something //业务请求 }catch(){ } finally { jedis.del(key); //释放锁 } }
如果执行完setnx加锁,正要执行expire设置过期时间时,进程crash掉或者要重启维护了,那这个锁就“长生不老”了,别的线程永远获取不到锁啦,所以分布式锁不能这么实现。
12.2 setnx + value值是过期时间
long expires = System.currentTimeMillis() + expireTime; //系统时间+设置的过期时间 String expiresStr = String.valueOf(expires); // 如果当前锁不存在,返回加锁成功 if (jedis.setnx(key, expiresStr) == 1) { return true; } // 如果锁已经存在,获取锁的过期时间 String currentValueStr = jedis.get(key); // 如果获取到的过期时间,小于系统当前时间,表示已经过期 if (currentValueStr != null && Long.parseLong(currentValueStr) < System.currentTimeMillis()) { // 锁已过期,获取上一个锁的过期时间,并设置现在锁的过期时间(不了解redis的getSet命令的小伙伴,可以去官网看下哈) String oldValueStr = jedis.getSet(key_resource_id, expiresStr); if (oldValueStr != null && oldValueStr.equals(currentValueStr)) { // 考虑多线程并发的情况,只有一个线程的设置值和当前值相同,它才可以加锁 return true; } } //其他情况,均返回加锁失败 return false; }
笔者看过有开发小伙伴就是这么实现分布式锁的,但是这种方案也有这些缺点:
-
过期时间是客户端自己生成的,分布式环境下,每个客户端的时间必须同步。
-
没有保存持有者的唯一标识,可能被别的客户端释放/解锁。
-
锁过期的时候,并发多个客户端同时请求过来,都执行了jedis.getSet(),最终只能有一个客户端加锁成功,但是该客户端锁的过期时间,可能被别的客户端覆盖。
12.3 set的扩展命令(set ex px nx)(注意可能存在的问题)
if(jedis.set(key, lock_value, "NX", "EX", 100s) == 1){ //加锁 try { do something //业务处理 }catch(){ } finally { jedis.del(key); //释放锁 } }
这个方案可能存在这样的问题:
-
锁过期释放了,业务还没执行完。
-
锁被别的线程误删。
12.4 set ex px nx + 校验唯一随机值,再删除
if(jedis.set(key, uni_request_id, "NX", "EX", 100s) == 1){ //加锁 try { do something //业务处理 }catch(){ } finally { //判断是不是当前线程加的锁,是才释放 if (uni_request_id.equals(jedis.get(key))) { jedis.del(key); //释放锁 } } }
在这里,判断当前线程加的锁和释放锁是不是一个原子操作。如果调用jedis.del()释放锁的时候,可能这把锁已经不属于当前客户端,会解除他人加的锁。
一般也是用lua脚本代替。lua脚本如下:
if redis.call('get',KEYS[1]) == ARGV[1] then return redis.call('del',KEYS[1]) else return 0 end;
这种方式比较不错了,一般情况下,已经可以使用这种实现方式。但是存在锁过期释放了,业务还没执行完的问题(实际上,估算个业务处理的时间,一般没啥问题了)。
12.5 Redisson
分布式锁可能存在锁过期释放,业务没执行完的问题。有些小伙伴认为,稍微把锁过期时间设置长一些就可以啦。其实我们设想一下,是否可以给获得锁的线程,开启一个定时守护线程,每隔一段时间检查锁是否还存在,存在则对锁的过期时间延长,防止锁过期提前释放。
当前开源框架Redisson就解决了这个分布式锁问题。我们一起来看下Redisson底层原理是怎样的吧:

只要线程一加锁成功,就会启动一个watch dog看门狗,它是一个后台线程,会每隔10秒检查一下,如果线程1还持有锁,那么就会不断的延长锁key的生存时间。因此,Redisson就是使用Redisson解决了锁过期释放,业务没执行完问题。
13. 零拷贝
零拷贝就是不需要将数据从一个存储区域复制到另一个存储区域。它是指在传统IO模型中,指CPU拷贝的次数为0。它是IO的优化方案
传统IO流程
-
零拷贝实现之mmap+write
-
零拷贝实现之sendfile
-
零拷贝实现之带有DMA收集拷贝功能的sendfile
13.1 传统IO流程
流程图如下:

-
用户应用进程调用read函数,向操作系统发起IO调用,上下文从用户态转为内核态(切换1)
-
DMA控制器把数据从磁盘中,读取到内核缓冲区。
-
CPU把内核缓冲区数据,拷贝到用户应用缓冲区,上下文从内核态转为用户态(切换2),read函数返回
-
用户应用进程通过write函数,发起IO调用,上下文从用户态转为内核态(切换3)
-
CPU将应用缓冲区中的数据,拷贝到socket缓冲区
-
DMA控制器把数据从socket缓冲区,拷贝到网卡设备,上下文从内核态切换回用户态(切换4),write函数返回
从流程图可以看出,传统IO的读写流程,包括了4次上下文切换(4次用户态和内核态的切换),4次数据拷贝(两次CPU拷贝以及两次的DMA拷贝)。
13.2 mmap+write实现的零拷贝
mmap 的函数原型如下:
void *mmap(void *addr, size_t length, int prot, int flags, int fd, off_t offset);
-
addr:指定映射的虚拟内存地址
-
length:映射的长度
-
prot:映射内存的保护模式
-
flags:指定映射的类型
-
fd:进行映射的文件句柄
-
offset:文件偏移量
-
mmap使用了虚拟内存,可以把内核空间和用户空间的虚拟地址映射到同一个物理地址,从而减少数据拷贝次数!
mmap+write实现的零拷贝流程如下:

-
用户进程通过mmap方法向操作系统内核发起IO调用,上下文从用户态切换为内核态。
-
CPU利用DMA控制器,把数据从硬盘中拷贝到内核缓冲区。
-
上下文从内核态切换回用户态,mmap方法返回。
-
用户进程通过write方法向操作系统内核发起IO调用,上下文从用户态切换为内核态。
-
CPU将内核缓冲区的数据拷贝到的socket缓冲区。
-
CPU利用DMA控制器,把数据从socket缓冲区拷贝到网卡,上下文从内核态切换回用户态,write调用返回。
可以发现,mmap+write实现的零拷贝,I/O发生了4次用户空间与内核空间的上下文切换,以及3次数据拷贝。其中3次数据拷贝中,包括了2次DMA拷贝和1次CPU拷贝。
mmap是将读缓冲区的地址和用户缓冲区的地址进行映射,内核缓冲区和应用缓冲区共享,所以节省了一次CPU拷贝‘’并且用户进程内存是虚拟的,只是映射到内核的读缓冲区,可以节省一半的内存空间。
sendfile实现的零拷贝
sendfile是Linux2.1内核版本后引入的一个系统调用函数,API如下:
ssize_t sendfile(int out_fd, int in_fd, off_t *offset, size_t count);
-
out_fd:为待写入内容的文件描述符,一个socket描述符。,
-
in_fd:为待读出内容的文件描述符,必须是真实的文件,不能是socket和管道。
-
offset:指定从读入文件的哪个位置开始读,如果为NULL,表示文件的默认起始位置。
-
count:指定在fdout和fdin之间传输的字节数。
-
sendfile表示在两个文件描述符之间传输数据,它是在操作系统内核中操作的,避免了数据从内核缓冲区和用户缓冲区之间的拷贝操作,因此可以使用它来实现零拷贝。
sendfile实现的零拷贝流程如下:

sendfile实现的零拷贝
-
用户进程发起sendfile系统调用,上下文(切换1)从用户态转向内核态
-
DMA控制器,把数据从硬盘中拷贝到内核缓冲区。
-
CPU将读缓冲区中数据拷贝到socket缓冲区
-
DMA控制器,异步把数据从socket缓冲区拷贝到网卡,
-
上下文(切换2)从内核态切换回用户态,sendfile调用返回。
可以发现,sendfile实现的零拷贝,I/O发生了2次用户空间与内核空间的上下文切换,以及3次数据拷贝。其中3次数据拷贝中,包括了2次DMA拷贝和1次CPU拷贝。那能不能把CPU拷贝的次数减少到0次呢?有的,即带有DMA收集拷贝功能的sendfile!
sendfile+DMA scatter/gather实现的零拷贝
linux 2.4版本之后,对sendfile做了优化升级,引入SG-DMA技术,其实就是对DMA拷贝加入了scatter/gather操作,它可以直接从内核空间缓冲区中将数据读取到网卡。使用这个特点搞零拷贝,即还可以多省去一次CPU拷贝。
sendfile+DMA scatter/gather实现的零拷贝流程如下:

-
用户进程发起sendfile系统调用,上下文(切换1)从用户态转向内核态
-
DMA控制器,把数据从硬盘中拷贝到内核缓冲区。
-
CPU把内核缓冲区中的文件描述符信息(包括内核缓冲区的内存地址和偏移量)发送到socket缓冲区
-
DMA控制器根据文件描述符信息,直接把数据从内核缓冲区拷贝到网卡
-
上下文(切换2)从内核态切换回用户态,sendfile调用返回。
可以发现,sendfile+DMA scatter/gather实现的零拷贝,I/O发生了2次用户空间与内核空间的上下文切换,以及2次数据拷贝。其中2次数据拷贝都是包DMA拷贝。这就是真正的 零拷贝(Zero-copy) 技术,全程都没有通过CPU来搬运数据,所有的数据都是通过DMA来进行传输的。
14. synchronized
synchronized是Java中的关键字,是一种同步锁。synchronized关键字可以作用于方法或者代码块。
一般面试时。可以这么回答:
-
反编译后,monitorenter、monitorexit、ACC_SYNCHRONIZED
-
monitor监视器
-
Java Monitor 的工作机理
-
对象与monitor关联
14.1 monitorenter、monitorexit、ACC_SYNCHRONIZED
如果synchronized作用于代码块,反编译可以看到两个指令:monitorenter、monitorexit,JVM使用monitorenter和monitorexit两个指令实现同步;如果作用synchronized作用于方法,反编译可以看到ACCSYNCHRONIZED标记,JVM通过在方法访问标识符(flags)中加入ACCSYNCHRONIZED来实现同步功能。
-
同步代码块是通过monitorenter和monitorexit来实现,当线程执行到monitorenter的时候要先获得monitor锁,才能执行后面的方法。当线程执行到monitorexit的时候则要释放锁。
-
同步方法是通过中设置ACCSYNCHRONIZED标志来实现,当线程执行有ACCSYNCHRONIZED标志的方法,需要获得monitor锁。每个对象都与一个monitor相关联,线程可以占有或者释放monitor。
14.2 monitor监视器
monitor是什么呢?操作系统的管程(monitors)是概念原理,ObjectMonitor是它的原理实现。

在Java虚拟机(HotSpot)中,Monitor(管程)是由ObjectMonitor实现的,其主要数据结构如下:
ObjectMonitor() { _header = NULL; _count = 0; // 记录个数 _waiters = 0, _recursions = 0; _object = NULL; _owner = NULL; _WaitSet = NULL; // 处于wait状态的线程,会被加入到_WaitSet _WaitSetLock = 0 ; _Responsible = NULL ; _succ = NULL ; _cxq = NULL ; FreeNext = NULL ; _EntryList = NULL ; // 处于等待锁block状态的线程,会被加入到该列表 _SpinFreq = 0 ; _SpinClock = 0 ; OwnerIsThread = 0 ; }
ObjectMonitor中几个关键字段的含义如图所示:

14.3 Java Monitor 的工作机理

-
想要获取monitor的线程,首先会进入_EntryList队列。
-
当某个线程获取到对象的monitor后,进入Owner区域,设置为当前线程,同时计数器count加1。
-
如果线程调用了wait()方法,则会进入WaitSet队列。它会释放monitor锁,即将owner赋值为null,count自减1,进入WaitSet队列阻塞等待。
-
如果其他线程调用 notify() / notifyAll() ,会唤醒WaitSet中的某个线程,该线程再次尝试获取monitor锁,成功即进入Owner区域。
-
同步方法执行完毕了,线程退出临界区,会将monitor的owner设为null,并释放监视锁。
14.4 对象与monitor关联

-
在HotSpot虚拟机中,对象在内存中存储的布局可以分为3块区域:对象头(Header),实例数据(Instance Data)和对象填充(Padding)。
-
对象头主要包括两部分数据:Mark Word(标记字段)、Class Pointer(类型指针)。
Mark Word 是用于存储对象自身的运行时数据,如哈希码(HashCode)、GC分代年龄、锁状态标志、线程持有的锁、偏向线程 ID、偏向时间戳等。

重量级锁,指向互斥量的指针。其实synchronized是重量级锁,也就是说Synchronized的对象锁,Mark Word锁标识位为10,其中指针指向的是Monitor对象的起始地址。
15. 分布式id生成方案有哪些?什么是雪花算法?
分布式id生成方案主要有:
-
UUID
-
数据库自增ID
-
基于雪花算法(Snowflake)实现
-
百度 (Uidgenerator)
-
美团(Leaf)
什么是雪花算法?
雪花算法是一种生成分布式全局唯一ID的算法,生成的ID称为Snowflake IDs。这种算法由Twitter创建,并用于推文的ID。
一个Snowflake ID有64位。
-
第1位:Java中long的最高位是符号位代表正负,正数是0,负数是1,一般生成ID都为正数,所以默认为0。
-
接下来前41位是时间戳,表示了自选定的时期以来的毫秒数。
-
接下来的10位代表计算机ID,防止冲突。
-
其余12位代表每台机器上生成ID的序列号,这允许在同一毫秒内创建多个Snowflake ID。

雪花算法
最后PHP中文网祝大家找到一份满意的工作!!!
【面试题专题】
前端:【前端面试题】【js面试题 】【 vue面试题】【ajax面试题】【react面试题】
数据库:【mysql面试题】【redis面试题】【oracle面试题】
后端:【PHP面试题】【thinkphp面试题】【python面试题】【java面试题】【android面试题】

声明:本文转载于:微信公众号,如有侵犯,请联系admin@php.cn删除
- 上一篇:37个常见Vue面试题,增强你的Vue知识储备!
- 下一篇:没有了
站长资讯网